產品簡介
2×Multiplex Fast Probe Mix (UNG) 是基于探針法進行多重 qPCR 反應的即用型試劑。本產品采用抗體法修飾熱啟動 DNA 聚合酶,搭配經過優化的緩沖體系,保證多重靶標擴增的特異性、靈敏度和擴增線型。本產品可實現對多重靶基因進行準確定量和 qPCR 檢測,重復性好。此外,試劑中加入的 dUTP/UNG 防污染系統,室溫下即可發揮作用,可消除擴增產物污染對 qPCR 的影響。
本產品為 2× 預混液,使用時只需加入模板、引物、探針、ROX Reference Dye(根據不同熒光定量 PCR 儀選擇使用)和水,即可進行反應,使用方便,可兼容快速程序,縮短檢測時間。
產品組分
| 組分貨號 | 組分名稱 | A392-01 | A392-10 | A392-100 |
|---|---|---|---|---|
| ZA392-101 | 2×Multiplex Fast Probe Mix (UNG) | 1.1 ml | 1.1 ml×10 | 1.1 ml×100 |
注:本產品不提供 ROX Reference Dye。不同儀器所需 ROX Reference Dye 不同,如需添加,需致電本公司或向服務您的銷售人員索取。
需加 High ROX Reference Dye (50×) 的機型:ABI Prism7000/7300/7700/7900HT 和 ABI Step One /ABI Step One Plus。
需加 Low ROX Reference Dye (50×) 的機型:ABI Prism7500 /7500 Fast , MJ Research Chromo4,Opticon (II) , Corbett Rotor Gene 3000。
無需加 ROX Reference Dye 的機型:Thermal Cycler Dice Real Time System , LightCycler , Smart Cycler System,Corbett Rotor-gene 6000, Agilent Technologies Mx3000P 等熒光定量 PCR 儀。
保存條件
-20℃ 保存,避光,保質期 24 個月,避免反復凍融。如果經常使用,可置于 4℃ 保存至少 3 個月。
數據展示
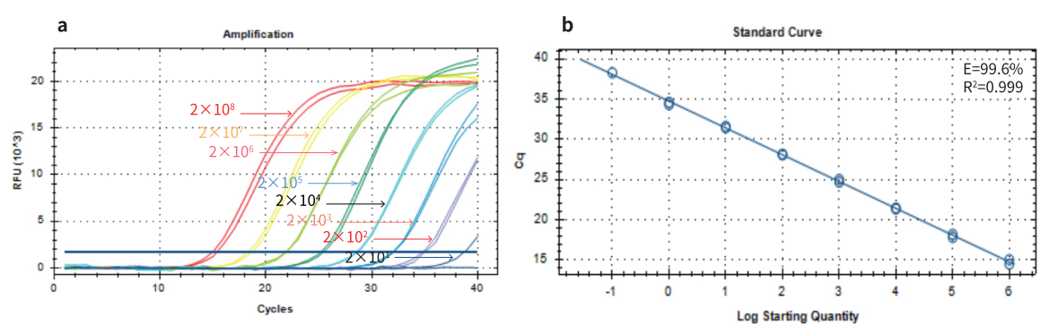
1.優異的靈敏度
對濃度范圍為 2×101~2×108 copies/μl 的某 DNA 病毒陽性質粒,用 GenStar #A392 進行 qPCR 檢測,結果顯示,GenStar #A392 可檢測出最低 DNA 量為 20 copies/μl。

2. 擴增效率高
GenStar #A392 與 Com V 同時進行四重 qPCR 檢測,結果顯示,四通道檢測結果均良好,尤其 FAM、Cy5、ROX 通道擴增效率優于 Com V。

相關產品推薦
請按照實際實驗情況進行使用,如有疑問,請聯系您的業務員或致電技術支持熱線400-666-3332撥2